Грядущая катастрофа хэширования

Тема в разделе "Майнинг (общий раздел)", создана пользователем FanatMonet, 2 июн 2016.

?

Что вы майните?

  1. Биткоин

    0 голосов
    0,0%
  2. Лайткоин

    0 голосов
    0,0%
  3. Etherium

    2 голосов
    28,6%
  4. Другой Альткоин

    5 голосов
    71,4%
  1. [​IMG]

    Эта проблема может полностью «обездвижить» Биткойн. И для ее решения может потребоваться (простой) хардфорк. Эта проблема обострится в течение следующих 20–30 лет (вероятно, хуже всего будет в 2020–2028 годах), но затем она быстро сойдет на нет.

    Разделим ее на две более мелкие проблемы.

    Проблема 1. Сокращение награды за блок вдвое приводит к мгновенному многократному сокращению доходов майнеров.
    Конечно, это утверждение предполагает [1], что комиссия за транзакции незначительна, а [2] обменный курс биткойна никогда не увеличивается при упрощении майнинга вдвое.

    Сейчас комиссия за транзакции составляет около 1 % от доходов майнеров, и не ожидается, что в ближайшее время этот процент значительно возрастет. Даже если бы комиссия за транзакции составляла 50 % от доходов (слишком оптимистично), сокращение награды вдвое все равно привело бы к сокращению общего дохода на 1/4 (а это значительная часть).

    Обменный курс биткойнов (который очень важен для майнеров) вообще не должен меняться при упрощении майнинга вдвое. Согласно гипотезе эффективности рынка, а именно слабой форме эффективности рынка, все, кто считают, что курс биткойна к доллару США вырастет вдвое, должны немедленно приобретать биткойны (и повышать цену). Я ранее писал, что из-за «насыщения» биткойн может быть устойчив к этой гипотезе. Однако (как и в случае с любой устойчивостью к гипотезе эффективности рынка) эта невосприимчивость очень изменчива и со временем перестает действовать.
    [​IMG]
    Слева на рисунке показано, что сокращение награды вдвое существенно влияет на награду за блок. Справа же показано, что существенное влияние оказывает изменение комиссии за транзакцию.

    Проблема 2. При изменении сложности остаются только майнеры одного уровня.
    Каждые две недели общая стоимость майнинга (а именно сложность) возвращается к исходному состоянию, а ожидаемая экономическая прибыль майнера среднего уровня становится нулевой. Майнеры нижнего уровня больше не могут позволить себе работать. В конечном итоге они отключают средства для майнинга и покидают систему.

    Конечно, это научное упрощение фактического майнинга. Здесь игнорируется [1] неопределенность (во всех факторах) и [2] «постоянные преимущества» («бесплатная» электроэнергия, географическое распределение источников энергии, секреты ASIC-систем). Однако эти артефакты лишь замедляют неизбежное — постоянную, фундаментальную базовую фильтрацию.

    После отсева майнеров нижнего уровня процесс все более ужесточается. В конце концов останется только несколько самых лучших майнеров. Эти майнеры могут прибегать к различным передовым практикам — методы майнеров, использующих солнечную энергию и энергию воды, отличаются — но в итоге и те, и другие получат незначительную прибыль.
    [​IMG]

    Объединение проблем
    Проблема возникает тогда, когда эти два эффекта накладываются друга на друга.
    [​IMG]
    Иными словами, однажды настанет день, когда прибыль всех майнеров будет небольшой, а сокращение награды за блок приведет к уменьшению их дохода вдвое. В итоге даже не половина, а все майнеры прекратят добывать биткойны.

    Таким образом, сложность не изменится (в сторону уменьшения), пока не будет обработано еще 1008 блоков (в среднем). (На самом деле, точное количество блоков всегда известно.) Поэтому даже те майнеры, которые планируют снова начать добывать биткойны после уменьшения сложности, повременят до тех пор, пока это не станет выгодным.

    Проблема заключается в том, что этот период может быть длительным. Период изменения сложности, который обычно длится две недели, исчисляется в блоках, а не во времени. Поэтому он может длиться вечно

    (или пока кто-нибудь вручную не создаст хардфорк сети [со сложностью около 60 %] и не запустит остановившийся механизм).

    Но это еще не все. Даже если большинство майнеров остановят работу, оставшаяся неопределенность (или просто увеличение времени подтверждения) может вызвать валютный кризис в Биткойне. Аномальная волатильность комиссии за транзакцию и курса биткойнов повлечет увеличение премии за риск в Биткойне, что нанесет ущерб ценовому предложению биткойна как денежного средства. Вот один из примеров. Если курс биткойна к доллару США уменьшится вдвое, награда за блок станет в два раза меньше, что будет иметь эффект четырехкратного уменьшения. Уменьшение курса биткойна к доллару США увеличит расхождение между затратами на майнинг и наградой, что еще больше усугубит проблему и может создать мертвую петлю.

    В ближайшем времени уровни майнеров станут достаточно разными (а обменный курс уже будет достаточно волатильным), поэтому большинство из них переживет двойное сокращение. А в долгосрочной перспективе Биткойн приобретет существенную ценность и комиссия за транзакции увеличится (вместе с увеличением времени подтверждения), чтобы компенсировать эту проблему. Тем не менее в среднесрочной перспективе, приблизительно в 2020 году, последствия могут быть катастрофическими.

    Решение
    Что не решит проблему
    Бездействие

    Можно надеяться, что майнеры просто продолжат делать свою работу (в убыток), чтобы предотвратить крах Биткойна (и чтобы их специализированное оборудование полностью не обесценилось).

    Это неприемлемо, ведь при уравновешенном состоянии системы майнеры используют все полученные биткойны (которые идут на эксплуатационные расходы или капиталовложения), и легко предположить, что некоторые майеры планируют свои капиталовложения с учетом 4-летнего цикла двойного сокращения в Биткойне (они отложат их, пока награда не уменьшится вдвое, а затем будут строить планы заново, исходя из ситуации). В любом случае оборудование для майнинга редко служит дольше чем 2 года.

    Издержки при альтруистическом майнинге можно оценить лишь приблизительно. Сейчас совокупный доход всех майнеров составляет больше 15 млн долл. США (2016*25*300) за каждый цикл сложности. Конечно, эти данные могут измениться, но если этого не произойдет, при двойном сокращении в 2016 году доход майнеров может снизиться более чем на 7 000 000 дол. США. Если майнеры будут работать при таких издержках, 7 млн будут стоить 10 минут майнинга блоков. Хуже то, что такой альтруизм предотвратил бы последующее представительское изменение сложности. В плену альтруизма майнеры только потеряют деньги.

    Более того, со временем пользователи все больше теряют возможность помочь им… Непрерывное развитие профессионального оборудования делает наше потребительское оборудование (домашние компьютеры, телефоны) преимущественно бесполезным для этого.

    Каждое сокращение награды за блок вдвое ведет к двухкратному упрощению майнинга.
    Очевидно, что предполагалось сократить в два раза прибыль, а не доходы. К сожалению, четкого способа для отображения в протоколе информации о размере дохода майнера нет.

    Один из них (хардфорк) заключается в том, чтобы одновременно уменьшить сложность и сократить награду вдвое. Это может сработать. Однако тогда проблема для блоков, созданных в 2016 году (которые можно было бы создать за одну неделю, а не за две), просто отложится, а сложность увеличится вдвое. Таким образом, мы вернемся к тому, с чего начинали. Если бы при уменьшении сложности вдвое общие затраты на майнинг уменьшались ровно вдвое (включая издержки и труд), а при изменении награды за блоки доходы бы также уменьшались ровно в два раза (то есть, если бы комиссия за транзакции не взималась, а обменный курс не изменялся), то это могло бы сработать. Однако сложность больше зависит от времени, чем от расходов (а доходы в основном зависят от обменного курса биткойнов).
    [​IMG]
    Кажется, есть только один способ полностью решить проблему.

    Равномерное снижение темпов инфляции
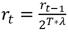
    Единственное решение, которое позволит устранить проблему на 100 %, — не сокращать число биткойнов сразу вдвое, а провести непрерывный и постепенный процесс сокращения.

    Это можно представить в виде следующей формулы:
    [​IMG]
    r означает количество биткойнов, выпускаемых на блок, t — число блоков (то есть, «время»), а лямбда — неопределенный параметр (маленькое t используется для индексации r, а большое T означает фактическое число).

    Типы форков
    Процесс можно выполнить посредством хардфорка или софтфорка.

    При любом хардфорке одна политика выпуска может сменить другую, а софтфорк должен подчиняться исходным правилам выпуска. Этого можно достичь, сохранив монеты на резервном счете, подвергшемся софтфорку с применением специальных правил, согласно которым снимать средства могут только будущие майнеры, нашедшие блоки. Так как баланс банка, подвергшийся софтфорку, никогда не может быть отрицательным, некоторым майнерам придется пойти на определенные жертвы (они потеряют монеты, которые в противном случае сохранили бы). Хардфорк, который не подчиняется исходным правилам, может уменьшить эту проблему.

    Подробные сведения
    Чтобы взглянуть на потенциальный график выпуска и его влияние на майнеров, мне предварительно пришлось выполнить некоторые математические расчеты в Excel. Этот анализ чрезмерно упрощен (год занимает только одну строку, вместо 52,560 строк (6*24*365)), и я бы, очевидно, улучшил его, прежде чем делать официальную заявку. Конечно же, конкретные цифры не важны. Значение имеют только понятия.

    Исходное состояние Хардфорк Софтфорк
    Лямбда (за год) нет .012371160 .012166134
    Воздействие ценового предложения (в биткойнах при 5 %)* нет -81 442,1 -119 080,3
    Число биткойнов в 2168 году




    21 038 400,0** 21 038 399,7 20 973 054,6
    * Чтобы в каждом конкретном случае свести это значение к минимуму, я, конечно же, все рассчитывал. ** Это значение не равно 21 млн из-за високосных лет (и других упрощений, которые одинаковы во всех сценариях). Так что значение при хардфорке в точности воссоздает исходное значение (а не вторую ошибку).
    [​IMG]
    [​IMG]
    При софтфорке в конце концов начинает накапливаться все больше и больше наград за блок, которые становятся все меньше и меньше. Таким образом, около 65 000 биткойнов навсегда остаются в банке.

    Расходы
    Майнеры несут урон в любом случае (в соотношении примерно 81 к 119, что дает примерно 68 %), будь то софтфорк или хардфорк.

    Этот ущерб (затраты для майнеров, когда они предоставляют монеты банку взаймы без компенсации) будет существенным: по рыночной цене биткойн будет равен 250 долларам США, то есть 119 000 биткойнов будут стоить около 30 млн долл. США.

    Конечно, доход от майнинга в основном зависит от обменного курса, поэтому нам необходимо оценить эту сумму с учетом роста спроса на биткойны, что может произойти в результате такого изменения.

    Возможное действие софтфорка
    Как мы уже говорили, софтфорк в любом случае позволит майнерам добывать 25 биткойнов за 10 минут. Какая-то часть этих биткойнов будет просто «заморожена» (т. е. они будут помещены в банк майнера).

    Мы могли бы потребовать, чтобы для этого банка использовался адрес, с помощью которого любой желающий имел бы возможность потратить биткойны. При этом майнеры могли бы принудительно применять заранее определенную политику расходов с этого адреса. Позже при добывании блока, который нужно извлечь из банка (в период с 2020 по 2038 гг., когда плавная кривая станет выше синей кривой линии), измененный протокол может просто позволить перенести определенное количество биткойнов с этого адреса на любой другой (вероятно, майнер переведет их себе).

    Это будет первый софтфорк, не соответствующий принципу Парето. Однако нам также стоит учитывать, что из-за краха Биткойна в результате неустраненной проблемы, могут существенно пострадать майнеры. Это особенно интересно, так как именно майнеры управляют софтфорком. Примерно в 2020 году на адресе, с помощью которого любой желающий может потратить биткойны, накопится более 450 000 биткойнов (на сегодня эта сумма превышает 120 млн долл. США).

    Чтобы предотвратить возможный захват этих средств майнерами, можно убедить пользователей обновить свое программное обеспечение или воздействовать на них каким-либо другим путем. Но для этого следует учесть 2 аспекта.

    1. К этому времени постоянные пользователи, скорее всего, обновят свое программное обеспечение (что станет больше напоминать хардфорк).
    2. Цена блока без форка слишком высокая. Он стоит больше, чем другие блоки в 72 000 раз(450 000/6,25), и будет постоянным объектом для атак майнеров (они будут входить в систему, чтобы добыть этот блок, а потом откажутся от участия в цепочке, в которой они не смогут получить доход). Таким образом, попытка начать борьбу может не увенчаться успехом.

    Как это произошло?
    Странно видеть ошибку проектирования в, казалось бы, идеально созданной Биткоин-сети. Я склонен считать, что фиксированная прибыль в 50 биткойнов за блок устраивала Сатоши (Satoshi). Он сразу ожидал, что в его сторону будет очень много критики, и не хотел слышать, что майнеры не захотят добывать блоки, так как он уже начал этим заниматься и получил самые легкие блоки.

    Ведь гораздо проще объяснить, что вы получаете 50 биткойнов из каждого блока, но это число уменьшается наполовину каждые четыре года, чем сказать, что количество полученных биткойнов зависит от формулы.

    Или я что-то неправильно понял? Как вы думаете?

    Особая благодарность выражается Маршалу Лонгу (Marshall Long), Грегу Максвеллу (Greg Maxwell), Марку Фреиденбаху (Mark Freidenbach) и Адаму Бэку (Adam Back) за участие в плодотворных дисскусиях.

    Источник: www.truthcoin.info
     
    BordaberryVinoly и Andriyan21 нравится это.
  2. foserfox

    foserfox drunk fox

    Статья старая, как мой компьютер на работе. По факту: это всё обычное бла-бла, основанное на том, что разрабы битка будут топтаться на месте и не привнесут в него никакие нововведения\улучшения\изменения, так же как и разработчики майнингового оборудования не будут развивать и улучшать свои асики и все как идиоты будут всю жизнь майнить на s7, а так считать очень даже наивно.
     
    Последнее редактирование: 2 июн 2016
    BordaberryVinoly нравится это.