KOK PLAY - HOTEL KING - экономическая игра с выводом в крипте

Тема в разделе "Игры", создана пользователем Ksantos, 3 фев 2020.

  1. Ksantos

    Ksantos NT

  2. Ksantos

    Ksantos NT

  3. Ksantos

    Ksantos NT

    Советы по игре Hotel King

    1. Получайте доход от сети отелей в Hotel King

    Даже если ваш партнер не владеет отелем на данный момент, вы просто можете его зарегистрировать. Даже просто имея никнейм в игре Вам будут приходить КОК Токены каждый день с 1 до 10 глубины. Не пропустите эту возможность.

    2. Вскоре, появится дополнительная возможность получать KOK токены в Hotel King.

    Мы пока тестируем эту функцию.

    * По словам Park Sung-jun, создателя игры King Hotel:
    Причина создания системы вознаграждений компании KOK Foundation является расширение сети пользователей платформы.

    * Если пользователи вопреки намерений компании (т.е. расширение сети пользователей), будут жульничать для максимизации собственной прибыли, то будут предприниматься серьезные меры. Сейчас такие моменты строго контролируются со стороны компании.

    * Hotel King - это сервис, который был создан для доставления удовольствия активным пользователям ( консультантам), которые способствуют расширению инфраструктуры компании и привлечению новых партнёров.


    Условия применения правил игры Hotel King


    * Для успешного общего роста компании и их пользователей, мы организовали правила, которым нужно следовать. KOK Play не позволяет зарабатывать деньги таким способом, как другие token-проекты/стартапы.
    Кстати из-за таких способов большинство токен-проектов было закрыто.

    С самого начала наша компания строго регулирует недопустимые действия для общего блага и развития компании.

    Причиной усиления мер против таких действий как:
    - внутренние транзакций
    - многочисленные счета открытые одной личностью ( мультиаккаунты)
    - программы по автоматизации игр
    и других пользователей, которые злоупотребляют приложением, является предотвращение аналогичной ситуации в будущем.


    Планы развития на 2020 год

    Скоро будет объявлен второй план действий (roadmap) компании KOK Play.

    Смысл объявления второго плана действий KOK Play заключается в том, что KOK Play планирует увеличить число листинга на других биржах в этом году, и увеличению количество айтемов (items) в приложении KOK Play.

    После этого объявления вы обнаружите, что бизнес KOK Play отличается от бизнеса, который мы знали до сих пор...

    Больше людей, чем когда-либо, будут заинтересованы вступить в KOK Play. До этого момента нам нужно увеличивать нашу группу, давая информация большему количеству людей.

    Сейчас – время возможности, когда многие люди пока об этом не знают.

    Когда все остальные узнают о ценности информации KOK Play, которую вы знаете сейчас, возможность будет упущена. Сделайте все возможное сейчас!
     
  4. Ksantos

    Ksantos NT

  5. Ksantos

    Ksantos NT

    Изменение политики и объявление о делении пополам.

    Привет, участники KOK PLAY.

    В соответствии с недавним быстрым ростом, мы планируем внести изменения в политику, чтобы помочь деятельности членов.


    Изменение политики заключается в следующем.



    1. Изменение политики для расширения платформы.


    Чтобы стать 1 звездой, необходимо было поставить монеты на сумму 10 000 долларов США напрямую, или общая сумма в размере 30 000 долларов США была необходима от вашего нижестоящего рекомендующего.


    Для достижения цели системы рекомендаций и поощрения дальнейших действий стандарт уровня будет изменен.


    Поскольку стандарт уровня изменился, также планируется дополнительная разовая компенсация за повышение уровня. Реализация запланирована на 1 июня, и мы заранее уведомим вас о деталях.


    2. Новый VIP уровень

    В последнее время растет число случаев, когда один майнер достиг уровня с несколькими счетами для вывода KOK.


    В связи с этим мы считаем, что лучше направлять его в правильном направлении с помощью политики, а не безрассудно вводить санкции. Поэтому мы стараемся установить новый уровень VIP.


    Когда вы ставите монеты на сумму более $ 100 000, VIP-уровень присуждается и может снять КОК, аналогично сумме, которую может снять 3-звездочный уровень. (0,15% / день от суммы ставки) Однако преимущества исчезают и не перекрываются с бонусом за уровень, когда ставка прекращается.

    (Если участник с определенной звездой ставит более $ 100 000, критерии уровня будут иметь приоритет.)


    Эта политика вступит в силу 1 июня.


    3. Половина

    С недавним быстрым увеличением добычи, вторая половина приближается.


    Второе сокращение в два раза более важно, потому что оно опережает изменение системы майнинга, поскольку объем предварительного майнинга заканчивается.


    Идеальная символическая экономика и строительство экосистем, которые преследует КОК, становятся на один шаг ближе.


    Объем майнинга KOK определяется сложной формулой, адаптированной к экономике токенов, и факторы, влияющие на эту формулу, включают в себя различные переменные, которые влияют на экосистему, такие как объем кумулятивного майнинга, объем суточного майнинга, количество кумулятивных ставок, и использование KOK.


    В то же время его добывали столько, сколько было задано, так как было дано количество предварительного майнинга. После того, как вся сумма предварительного майнинга была оплачена, сумма майнинга определяется экономией токена.


    Формула и принципы будут представлены через видеолекцию CTO, которая будет доступна на этой неделе через каналы.


    Количество майнинга, которое будет изменено через эту половину, выглядит следующим образом.


    100 ~ 1499: около 3% (до 12%)

    1500 ~ 9999: около 5% (до 12%)

    10000 ~: около 7% (до 12%)

    (Процентный диапазон может измениться)


    Могут быть некоторые различия в данных, зависящих от времени, но объем добычи будет уменьшен примерно на 20% по сравнению с предыдущей суммой. Однако ожидается, что это приведет к увеличению рыночной цены KOK, поэтому ожидается, что фактическая стоимость также будет увеличена.


    Ориентировочная дата внедрения ожидается примерно в конце мая. Этот график может быть изменен в зависимости от ситуации в шахте.


    4. Сжигание и рост цены платформы.


    Вторичное сжигание происходит, когда объем торговли КОК достигает определенного уровня. Цена в платформе повышается с 0,15 до 0,17 доллара. Точную сумму сжигания можно проверить по транзакции.


    Актуальные стандарты и ценовая политика в рамках платформы также будут доступны в лекции CTO на ленте этой недели. Этот контент будет также обновлен позже в официальном документе.


    Ожидается, что время сгорания и половинки будет примерно в конце мая. Этот график может быть изменен в зависимости от ситуации в шахте.


    До сих пор KOK PLAY выросла вместе с вами.

    Мы сделаем все возможное, чтобы выслушать и отразить ваше мнение.

    Мы хотели бы поблагодарить всех участников, которые всегда поддерживают и способствуют развитию платформы посредством активных действий.


    -KOK PLAY-
     
  6. Modon

    Modon новичок

    Здравствуйте, Свяжитесь пожалуйста со мной, я подписался на кок плэй под вас. What's up +79836309545
     
  7. Ksantos

    Ksantos NT

    Ответил в личку. :)
     
  8. Ksantos

    Ksantos NT

    Лекция Технического Директора Young Choe насчет экономики токенов на платформе KOK





    Введение

    Привет, это снова Young Choe. Я бы хотел поделиться моим пониманием экономики токенов на платформе KOK, в особенности как майнить и как сжигать наш KOK токен. Чтобы понять все особенности экономики токенов на KOK, нам нужно знать, что KOK является как платформой, так и экосистемой. Экосистема это что-то живое. Обычно мы говорим, что-либо живое следует кривой S (Сигмоида – гладкая монотонная возрастающая функция) по возрастающему графику.

    Конечно, KOK платформа имеет природу экосистемы, но также обладает особенностями и характеристиками экспоненциального роста. Возможности такого роста ведут к монополии. Победитель забирает все!!! Как огромные компании на подобии Google или Apple с поведением платформы и экспоненциальным ростом. Мы в KOK, мы нацелены к справедливой и общей платформе доступной на базе Блокчейн с искусственным интеллектом и участниками.

    Для нас очень важно соблюдать концепт и философию чтобы стать честной и общедоступной платформой для всех заинтересованных сторон. Коротко говоря, такой экспоненциальный рост противоестественен. Он может лопнуть из-за лимита ресурсов, что приведет к краху платформы. Дееспособная система не может расти экспоненциально. Мы хотим сделать нашу KOK платформу дееспособной и надлежащей системой которая может расти естественным образом. Более того, нам нужно добиться характеристик экспоненциального роста для работы устойчивого, соответствующего, дееспособного и честного механизма.

    Философия+математика
    Как я говорил, в большинстве случаев рост показывает график кривой S. Экосистема может быть представлена как симуляция большого количества этих кривых. Рассматривая множество причин и философию основателя, платформа пытается установить кривую характеристик роста таким образом – Что быстро растет вначале затем сходится к определенному равновесию. Это показано со стороны оборота KOK токенов.

    Есть много способов показать нашу философию роста. Однако, мы пытаемся установить нашу кривую относительно оборота токенов. Теоретический максимум токенов – 5 миллиардов. Наша платформа построена для быстрого роста и экспансии через увеличение участников. Мы пытаемся установить количество оборотных токенов чтобы придерживаться характеристик кривой и достичь количества в 1.5 миллиардов токенов. Уравнения и формулы, стоящие за экономкой токенов, включают в себя майнинг, расширение количества пользователей и рост цены платформы. Все эти характеристики следуют нашей кривой роста.

    Показатели
    Существуют два показателя контроля цены нашей KOK платформы – темп майнинга и сжигание. Первый это контроль темпа майнинга (mint). Второй это сжигание токенов. Давайте поговорим на счет первого рычага, частоты майнинга. Если мы допустим рост темпа майнинга, он увеличится экспоненциально. Это покажет экспоненциальную функцию времени (t) (переменная) и коэффициента (r) (переменная). Темп майнинга это (r) и время это (t). R это более приблизительный темп.

    Темп майнинга изменяется в зависимости от суммы ставки. Давайте приблизим различные показатели майнинга к одной переменной. Это полное значение майнинга за определенный период времени. Чем больше (r), тем круче кривая роста. В противопоставление, меньшее значение (r) показывает более округлую кривую роста. Мы скорректируем значение (r), для того чтобы приблизить фактическое количество оборота токенов с кривой роста. Значение (r) посчитано через общую сумму ставок, количество участников, объем майнинга и размера потребления. Когда экосистема активна и объем майнинга больше кривой роста, значение (r) будет уменьшено. С другой стороны, когда есть ограниченное количество ликвидных ресурсов из-за медленной развития и роста, цена (r) будет увеличена чтобы содействовать объему KOK токенов.

    Майнинг
    Сокращение, которое ожидается в середине мая, тоже будет скорректировано в расчет. Более того, это корректирование поспособствует увеличению значения KOK, по средствам контроля объема KOK. Темп майнинга это первый показатель, который контролирует общее количества тиража KOK токенов.

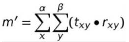
    Теперь давайте перейдем ко второму показателю, так называемое сжигание. У нас есть свой математик в области экономики токенов. Мы интенсивно работали и производили симуляции для того, чтобы развить цену токена и алгоритм принятия решений темпа майнинга. В целом, мы используем Альфа-Бета Отсечение, это похоже на MinMax algorithm. Он покажет, как получить значение цены платформы с (S_min) и (S_max). Сейчас объясню формулу. M’ – это полное количество токенов KOK. Умножение (t), времени на (r) – темп майнинга. Это сумма векторного умножения.

    F это базисная функция, вектор, который отражает значения и параметры сторонника и рефери.

    S_min это минимальная средняя цена, а S_max максимальная средняя цена KOK платформы. Цена платформы определяется как дзета-функция с двумя минимумом и максимумом. Это уравнение помогает решить две вещи. В настоящее время, у нас есть 0.15 от цены платформы, которые могут стать 0.17 или 0.19. Мы используем эту формулу для расчета цены платформы. Так же, мы используем это уравнение для чтобы определить темп майнинга. вся цель состоит в том, чтобы соответствовать кривой подгонки расчетных характеристик.

    Сжигание
    Цена платформы определяется через этот вычислительный процесс, который в свою очередь служит гарантией рыночной цены и способствует расширению экосистемы платформы. Если цена KOK торгуется на бирже дешевле чем цена платформы, люди будут пытаться выкупить KOK с биржи и перевести его на платформу. Это приведет к увеличению спроса на покупку, что поднимет цены на рынке.

    С другой стороны, если цена на рынке выше цены на платформе, майнинг и количество участников на платформе увеличится, что в свою очередь придет к росту платформы. Эти действия приведут к подъему цен от платформы на долгий период. Эта регулировка полного оборота KOK токенов является нашим решением для обеспечения лучших показателей цены KOK и поспособствует предотвращению краха намайниного количества KOK токенов.

    Как я уже говорил, намайненное количество токенов может вырасти экспоненциально. Даже если мы устанавливаем эти (r) и (p - смотрите на странице 9) расхождение с кривой роста характеристик. Тогда нам нужно скорректировать общий объем оборота. Этим является наш второй показатель сжигание. Сжигание применяется для того, чтобы скорректировать кривую характеристик. Существует две схемы сжигания – периодическая и институциональная. Периодическое сжигание. Если KOK токены были использованы для приобретения вещей, товаров или сервисов на платформе. Это количество токенов должно быть сожжено.

    Периодическое и институциональное сжигание
    Если токены использованы для обмена или других крипто обменов для снятия, это количество токенов тоже должно быть сожжено на период. Этот вид сжигания является периодическим. Если его является недостаточно тогда нужна ручная корректировка. Институциональное сжигание используется если есть необходимость в дополнительном сжигании. Периодическое сжигание решается по нашему денежному уравнению. Очевидно, для чего его использовать, а институциональное сжигание вызывает больше вопросов. Мы вывели такую формулу сжигания.

    Мы используем данное уравнение для того, чтобы определить необходимое количество институционального сжигания. Если периодического сжигания достаточно для того, чтобы приблизится к характеристикам кривой роста, то нет необходимости использовать институциональное. Причина такого сложного расчета уравнения в пользе генерируемой от платформы к участникам, особенно с ранними участниками для построения KOK платформы.

    Заключение и прогноз на будущее
    Если мы будем расти в этом направлении, однажды мы достигнем показателя в 1.5 миллиардов монет. Как будет идти время, у нас будет больше dApps (приложений) и увеличится пользовательская база. В прошлый раз я объяснял уравнение обмена Фишера (Fisher). Ценность KOK токена над (P) это вектор транзакции над (MV). M это количество денег. V это скорость которая показывает скорость обмена – (Change of hands – обмен рук) В виду того, что мы будет иметь огромный поток транзакций, мы ожидаем большой рост цены монет KOK. Это цена разделенная на 1.5 миллиарда, где T растет, а количество монет уменьшается. Это означает что владельцы монет KOK могут получить большую выгоду.

    Лично я не вижу ни каких других причин, по которым ценность KOK токена не поднимется до 100 долларов через 5 лет. Это моя мечта. С увеличением транзакций, пользовательской базы и вовлечением большего количества dApps одновременно с поддержанием общей суммы обменивающихся монет, у нас будет возможность достичь цели. В добавок, чтобы добиться поставленной цели, нам нужно корректировать майнинг и сжигание KOK периодически. Мы достигнем этой цели вместе.

    Спасибо.
     
  9. Ksantos

    Ksantos NT

    Вывод прибыли:

     
  10. Ksantos

    Ksantos NT

    Краткий обзор Приложения KOK PLAY

     
  11. Ksantos

    Ksantos NT

    Al COIN LOAN запускает сервис кредитования для партнёров KOK PLAY

    Поскольку токены KOK являются финансовыми активами наряду с Биткойн и Ethereum, KOK будет предоставляться в качестве обеспечения кредита для займа выдающегося искусственным интеллектом (AI Loan)

    AI Loan - это инновационный высокотехнологичный продукт, который может измерить кредитный рейтинг путем анализа межличностных отношений человека по социальным сетям, что выходит за пределы определения кредитного статуса кредитора который раньше выставлялся по имеющимся документам. Это финансовая услуга, которая активно внедряется в отечественном и зарубежном финансовом секторе.

    Это означает, что в отличие от других Altcoins, KOK Token был признан финансовым сектором как фактический актив, стоящий плечом к плечу с крупными монетами (как Биткойн и Ethereum)

    Как глобальная контент-платформа, KOK PLAY является важной отправной точкой для дальнейшего роста финансовых активов.
     
  12. Ksantos

    Ksantos NT

    Друзья, прошло уже достаточно много времени с момента создания этой темы, на платформе за этот период было не мало изменений, в связи с этим, выкладываю актуальные на данный момент расчёты прибыли в приложении:

     
  13. Ksantos

    Ksantos NT

    Вывод прибыли:

     
  14. Ksantos

    Ksantos NT

    Вывод прибыли:



    @NewTradeNT - телеграм канал о инвестициях и заработке в интернете! Узнавай о новых перспективных проектах заранее! ;)
     
  15. Ksantos

    Ksantos NT

    Вывод прибыли:

     
  16. Ksantos

    Ksantos NT



    #KOK подписывает договор о взаимоотношениях с кредитором AI Tenspace.

    KOK Token подписал меморандум о взаимоотношении с Tenspace Co., Ltd. и был признан в качестве финансового актива наряду с крупными монетами, такими как #Биткойн и #Эфириум.

    Компания Tenspace разработала новаторский финтех-продукт под названием «Credit AI», который анализирует сообщения в социальных сетях и друзей в соц.сетях более точно, чем кредитное расследование, которое ожидается только от традиционных документов, и было выбрано IT-компанией Gartner.
    Это ведущая корейская компания по технологическим инновациям, которая была единственной компанией, которая была названа «Лучшие поставщики 2020 года в области ИИ (искуственного интеллекта) для банковских и инвестиционных услуг».

    #KOKPlay, который был впервые запущен в сентябре 2019 года, собрал более 200 000 участников в 50 странах мира и продолжает доказывать интерес глобального контента и успех криптовалютных , развлекательных платформ на основе #блокчейн.

    #KOKToken, который стабильно рос после того, как впервые зарегистрировался на глобальной бирже криптовалют #ZBG на уровне 0,17 доллара в январе этого года, вырос на 0,35 доллара на бирже #Bithumb Global в марте, зафиксировав повышение цены более чем на 200%. В настоящее время он поддерживает стабильный уровень около $ 0,24 и активно торгует со среднедневной суммой транзакций 2–3 млрд Корейских Вон. (2,4млн$)

    В отличие от других альткойнов, которые просто торгуют после листинга на бирже, он постепенно превращается из глобальной контент-платформы «KOK PLAY» в реально ориентированную монету, которая используется для потребления различного корейского волнового контента, такого как игры, развлечения, маркетплейсы и т. д. Также показывает.

    Фактически, после листинга на основных биржах день за днём, он демонстрировал стабильного рост цен и привлек внимание финансового сектора, а благодаря услуге кредитования AI он был признан финансовым сектором как реальный актив на той же позиции, что и основные монеты, такие как биткойны и Ethereum. .

    Представитель фонда KOK утверждает: «ZBG получает различные предложения от финансовой индустрии для токенов KOK, цены на которые неуклонно растут после глобального листинга Bithumb. Мы также готовимся к листингу на более крупной глобальной бирже, поэтому мы сможем успешно сотрудничать с крупными иностранными финансовыми институтами ».
     
  17. Ksantos

    Ksantos NT

    Вывод прибыли:

     
  18. Ksantos

    Ksantos NT

    Анимационный ролик про платформу KOK Play:

     
  19. Ksantos

    Ksantos NT

    [Уведомление] Ограничения на использование PK Master Free Ticket

    2020-06-10 12:16:11

    Привет, это KOK PLAY.

    В последнее время, из-за быстрого увеличения числа участников, все больше пользователей выбирают использование игры с бесплатными билетами от PK Master без каких либо действий в майнинге.

    Чтобы создать более активную среду, мы предоставим бесплатный билет только тем пользователям, которые добывают монету через майнинг.

    Обратите внимание, когда вы используете сервис.


    KOK PLAY
     
  20. Ksantos

    Ksantos NT

    Вывод прибыли:





    Последние новости:

    «Фонд KOK подписал меморандум о сотрудничестве с NEXTFIN, торговой платформой FX от Next Ground, разработанной ведущими финансовыми экспертами Уолл-Стрит.»

    Теперь пользователям приложения доступен русский язык.